|
|
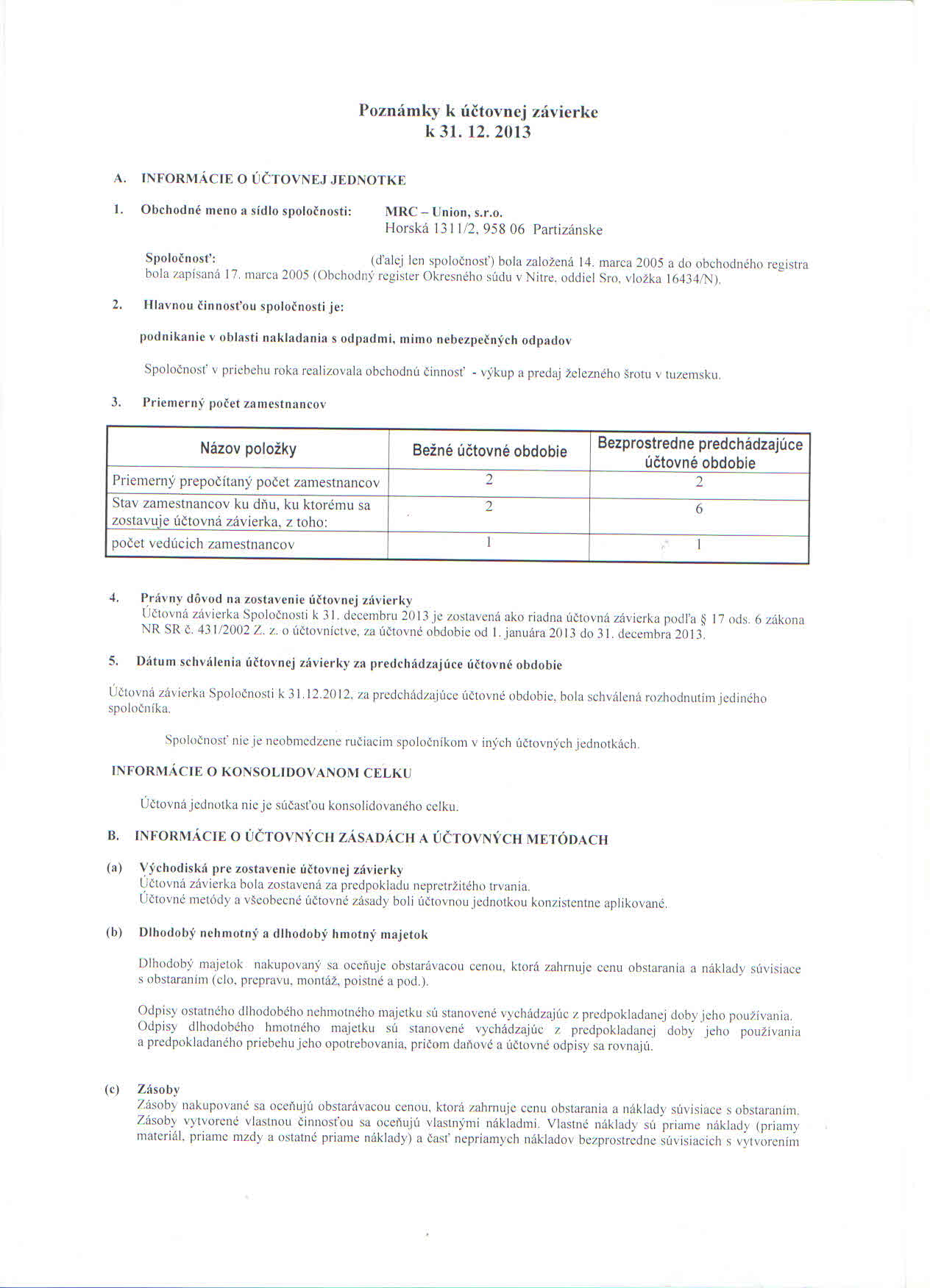
Účtovná závierka
Obdobie: 2014-01 - 2014-12 Typ: Riadna Dátum zostavenia: 13.03.2015 Dátum podania: 13.03.2015 Dátum schválenia: 13.03.2015 |
Účtovné výkazy
| Účtovný výkaz 1 | |
| Aktíva | 85 487 |
| Neobežný majetok | 27 332 |
| Obežný majetok | 56 928 |
| Časové rozlíšenie | 1 227 |
| Pasíva | 85 487 |
| Vlastné ímanie | 75 171 |
| Záväzky | 10 316 |
| Časové rozlíšenie | 0 |
| Výnosy | 416 472 |
| Výnosy z hospodárskej činnosti | 414 084 |
| Výnosy z finančnej činnosti | 2 388 |
| Náklady | 431 406 |
| Náklady z hospodárskej činnosti | 430 241 |
| Náklady z finančnej činnosti | 1 165 |
| Daň z príjmu | 960 |
| Výsledok hospodárenia po zdanení | -15 894 |
| Výsledok hospodárenia z hospodárskej činnosti | -16 157 |
| Výsledok hospodárenia z finančnej činnosti | 1 223 |

