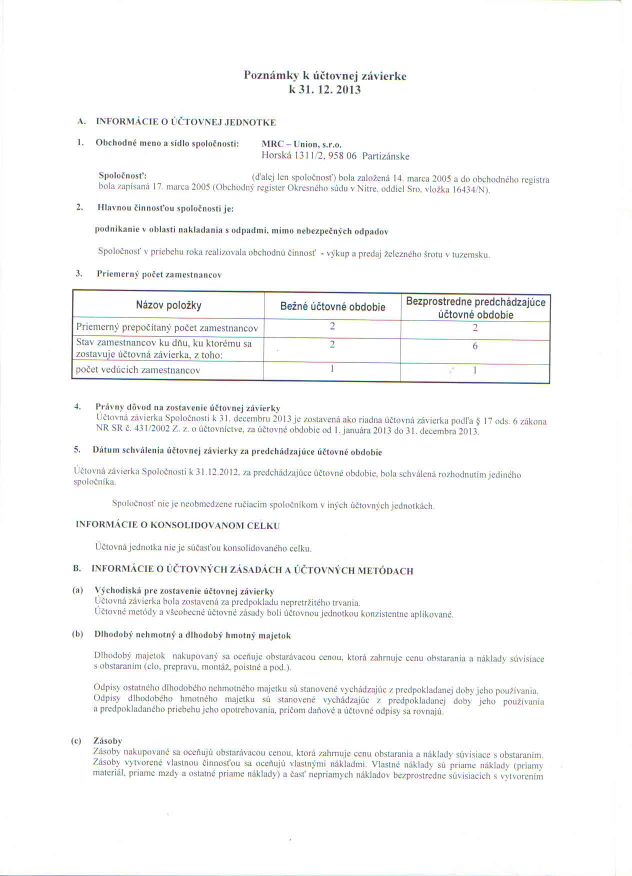
|
|
Účtovná závierka
Obdobie: 2014-01 - 2014-12 Typ: Riadna Dátum zostavenia: 13.03.2015 Dátum podania: 13.03.2015 Dátum schválenia: 13.03.2015 |
Účtovné výkazy
| Účtovný výkaz 1 | |
| Aktíva | 0 |
| Neobežný majetok | 0 |
| Obežný majetok | 0 |
| Časové rozlíšenie | 0 |
| Pasíva | 0 |
| Vlastné ímanie | 0 |
| Záväzky | 0 |
| Časové rozlíšenie | 0 |
| Výnosy | 0 |
| Výnosy z hospodárskej činnosti | 0 |
| Výnosy z finančnej činnosti | 0 |
| Náklady | 0 |
| Náklady z hospodárskej činnosti | 0 |
| Náklady z finančnej činnosti | 0 |
| Daň z príjmu | 0 |
| Výsledok hospodárenia po zdanení | 0 |
| Výsledok hospodárenia z hospodárskej činnosti | 0 |
| Výsledok hospodárenia z finančnej činnosti | 0 |

